教务系统
|
学校主页
首页
学院概况
学院介绍
专业介绍
机构设置
校园动态
产学研
课程建设
科研动态
创新创业
实验实训
党建引领
党内法规
党团活动
理论学习
学生管理
日常管理
学生活动
师德师风
师资建设
师德建设
师德榜样
学风建设
学院概况
学院介绍
专业介绍
机构设置
校园动态
机构设置
当前位置:
首页
>
学院概况
>
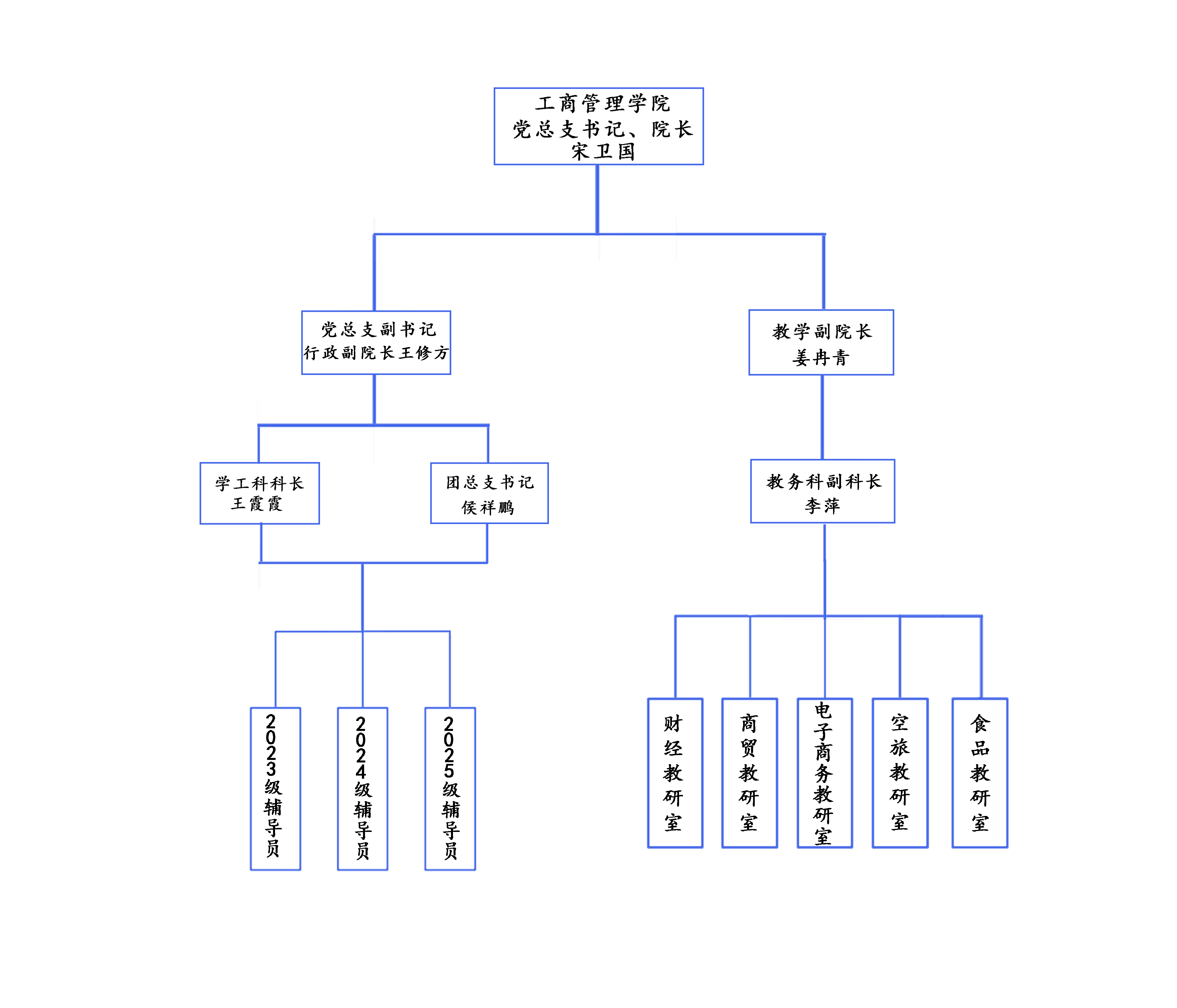
机构设置
机构设置
发布:2025-12-05 15:56:29 作者: gsglx 点击:
0
次
上一篇:没有了
下一篇: 没有了